永磁同步電機反電勢的理解
2024-09-06(1197)次瀏覽
1.反電勢是如何產生的?
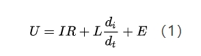
其實反電勢的產生很好理解,記憶力稍好的同學都應該知道早在初中和高中時就已經接觸過,只是當時的叫法是感應電動勢,其原理就是導體切割磁感線,只要兩者有相對運動就行,可以是磁場不動,導體切割;也可以是導體不動,讓磁場動。對于永磁同步電機而言,其線圈固定在定子上(導體),永磁體固定在轉子上(磁場),當轉子轉動時,轉子上的永磁體產生的磁場就會旋轉起來,就會被定子上的線圈進行切割,并在線圈中產生反電勢。為什么叫反電勢呢?顧名思義,因為反電勢E的方向和端電壓U方向相反(如圖1所示)。

2.反電勢和端電壓有什么關系?
從圖1中可以看出在負載下反電勢和端電壓的關系式為:

對于反電勢的測試,一般是在空載狀態下,不通電流,轉速為1000rpm條件下測試得出的。一般定義1000rpm數值,反電勢系數=反電勢平均值/轉速,反電勢系數是電機比較重要的參數,這里需要注意的是負載下的反電勢在轉速未穩定之前是不斷變化的。通過(1)式可知負載下反電勢是小于端電壓的,如果反電勢大于端電壓就成了發電機,對外輸出電壓。由于實際工作中的電阻和電流較小,因此反電勢的值約等于端電壓,且受端電壓的額定值限制。
3.反電勢的物理意義
設想如果反電勢不存在會出現什么樣的情況呢?由式(1)可知,沒有反電勢,整個電機就相當于一個純電阻,成了一個產熱特別嚴重的器件,這和電機將電能轉化為機械能是相違背的。
在電能轉化關系式中
,UIt即為輸入電能,比如向電池、電動機或變壓器中的輸入電能;I2Rt是各電路中的熱損失能量,這部分能量是一種熱損耗能量,越小越好;輸入電能與熱損耗電能的差值,就是與反電動勢相對應的那部分有用能量
,換言之,反電動勢是用來產生有用能量,與熱損耗呈反相關,熱損耗能量越大,可實現的有用能量就越小。
客觀地講,反電動勢消耗了電路中的電能,但它并不是一種“損耗”,與反電動勢相應的那部分電能,將轉化為用電設備的有用能量,例如,電動機的機械能、蓄電池的化學能等。
由此可見,反電動勢的大小,意味著用電設備把輸入的總能量向有用能量轉化的本領的強弱,反映用電器轉化本領的高低。
4.反電勢的大小和什么有關?
先給出反電勢的計算公式:
E為線圈電動勢、 ψ 為磁鏈、f為頻率、N為匝數、Φ是磁通。
根據上述公式相信大家也大概能說出幾點影響反電勢大小的因素了,這里引用一篇文章進行總結:
(1)反電勢等于磁鏈的變化率,轉速越高變化率越大,反電勢越大;
(2)磁鏈本身等于匝數乘以單匝磁鏈,因此匝數越高磁鏈越大,反電勢越大;
(3)匝數又和繞組方案有關,星角接,每槽匝數,相數,齒數,并聯支路數,整距還是短距方案有關;
(4)單匝磁鏈等于磁動勢除以磁阻,因此磁動勢越大,磁鏈方向上磁阻越小反電勢越大;
(5)磁阻又和氣隙以及極槽配合有關,氣息越大磁阻越大,反電勢越小。極槽配合比較復雜要具體分析;
(6)磁動勢又和磁鋼剩磁和磁鋼有效面積有關,剩磁越大反電勢越高。有效面積和磁鋼充磁方向,尺寸以及擺放位置均有關,需要具體分析;
(7)剩磁又和溫度有關,溫度越高,反電勢越小
綜上,反電勢影響因素包括轉速,每槽匝數,相數,并聯支路數,整距短距,電機磁路,氣隙長度,極槽配合,磁鋼剩磁,磁鋼擺放位置和磁鋼尺寸,磁鋼充磁方向,溫度。
5.電機設計中反電勢大小如何選取?
在電機設計中,反電勢E非常重要,我覺得反電勢設計的好(大小選擇合適,波形畸變率低),這個電機就是好的。反電勢對電機的影響主要有幾方面:1、反電勢大小決定了電機弱磁點,而弱磁點決定了電機效率map圖的分布。2、反電勢波形畸變率影響了電機紋波轉矩,影響了電機運行時轉矩輸出的平穩性。3、反電勢的大小直接決定了電機的轉矩系數,反電勢系數和轉矩系數成正比關系。由此可得出下面電機設計中所面臨的矛盾點:
a.反電勢做大,電機在低速運行區域能在控制器極限電流下保持高力矩,但是在高轉速時無法輸出力矩,甚至無法達到預期轉速;
b.反電勢做小,電機在高速區域仍然有輸出能力,但是低速相同控制器電流下轉矩達不到。
因此,反電勢大小的設計取決于電機的實際需求,例如在小型電機的設計中,如果要求在低速時仍能輸出足夠的轉矩,那么反電勢就必須設計的偏大一些。


點擊咨詢

18922805132